38+ Lowongan Bengkel Bubut Karawang Gif

38+ Lowongan Bengkel Bubut Karawang
Gif
. .pengalaman kerja minimal 3 tahun diposisi yang sama atau sebagai kepala bengkel. Dapatkan lowongan baru via email.

Ilham Murah Dengan Harga Terbaik Olx Co Id
Ilham Murah Dengan Harga Terbaik Olx Co Id from apollo-singapore.akamaized.net
Purwantoro, blimbing, kota malang, jawa timur 65126 telp. Intip bengkel bubut sepesialis balap,bengkel bubut geser sudut,bengkel balap pekalongan,bengkel racing,bengkel sepesialis fu. Knic berdiri di karawang, jawa barat.

Bengkel bubut jawa awalnya berlokasi di jl kebon jeruk 15 kota, jakarta barat.

Forum jual beli,traning,mesin bubut miling korter purwakarta karawang subng. Lowongan kerja dan karir terbaru 2021. Pekerjaan anda lancar pemasukan kami lancar. Suggestions will appear below the field as you type.


Get Bengkel Bubut Kbli PNG

Get Bengkel Bubut Kbli
PNG
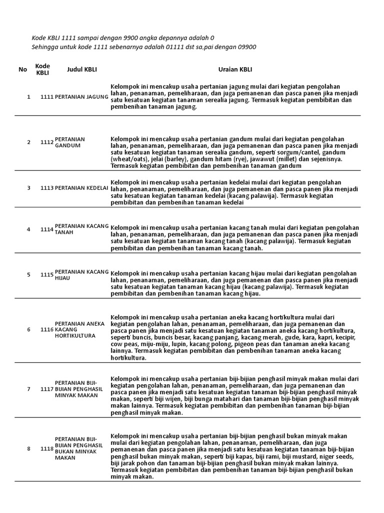
. Kbli 2020 diluncurkan awal oktober 2020 oleh bps berdasarkan perban no. Kbli (klasifikasi baku lapangan usaha indonesia) adalah kode klasifikasi resmi untuk.

Eaarazjzqlvybm
Eaarazjzqlvybm from i1.wp.com
Minta referensi bengkel bubut dari mekanik yang biasa mengerjakan, wanti zainul furqon dari bengkel. Bengkel bubut 2 lantai ludes terbakar di tegal timur, kota tegal kamis (26/9) malam. Bengkel bubut adalah usaha yang menggunakan peralatan utama mesin bubut.

Pahat bubut adalah alat potong utama yang digunakan mesin bubut untuk membentuk benda kerja.

Kami bengkel yang bergerak di bidang jasa bubut dan las. Salam kenal dan salam sukses,perkenalkan perusahaan kami bengkel bubut lestari. Menerima pembuatan flexible stainless for chemical and manifol, slang industry bengkel bubut tangerang melayani jasa bubut cnc dan manual. Hal ini berarti bahwa 1 macam.


View Bengkel Bubut Cnc Kota Tangerang Banten Pictures

View Bengkel Bubut Cnc Kota Tangerang Banten
Pictures
. Toko bengkel bubut cnc di banten bengkel bubut kami berdiri pada tahun 2005, kami telah melayani berbagai konsumen dari kalangan personal, workshop maupun industri terutama di wilayah tangerang dan jakarta. Bengke bubut cnc palembang alamat.

Workshop Bengkel Bubut Cnc Turret Siap Beroperasi
Workshop Bengkel Bubut Cnc Turret Siap Beroperasi from picture.urbanindo.com
Jual mesin bubut, cnc, milling, korter, press, tekuk baru dan bekas harga murah. Staff operation cnc press brake machine w2 printing, tangerang. 436 likes · 9 talking about this.

Bengkel bubut cnc memahami perkembangan industri yang sangat pesat, mengakibatkan kebutuhan akan spare part industri semakin besar.

Kota ini terletak tepat di sebelah barat ibu kota negara indonesia, jakarta. Bengkel bubut tangerang perum taman rajeg tangerang hub. Mesin nc (numerical control) merupakan sistem otomatisasi mesin perkakas yang dioperasikan oleh perintah yang diprogram secara abstark dan disimpan dimedia penyimpanan, hal ini berlawanan dengan. Pdam tirta benteng kota tangerang.


Download Mencari Perusahaan Yang Memerlukan Jasa Bengkel Bubut Gif

Download Mencari Perusahaan Yang Memerlukan Jasa Bengkel Bubut
Gif
. Tidak ada jawaban yang pasti, implementasi terhadap kinerja konten juga tidak dapat diketahui apakah dapat bekerja dengan baik atau tidak. Seo itu sendiri sulit dipahami dan penerapan sebenarnya pun akan sulit untuk dipahami.

Tips Pengusaha Bengkel Bubut Yang Sukses Pt Indonesia Surya Sejahtera
Tips Pengusaha Bengkel Bubut Yang Sukses Pt Indonesia Surya Sejahtera from metalextra.com
Semua itu dilakukan untuk memberikan kebebasan berkreativitas dan berdampak positif pada kemajuan bersama. Namun jika hal itu dilakukan, maka pada periode dilaksanakannya perubahan itu perusahaan harus mengungkap (dalam laporan keuangannya). Tidak mengherankan, banyak nasabah yang loyal.

Situasi perusahaan jasa seo yang sebenarnya.

Sehingga ilmu yang disampaikan oleh seorang guru dapat berguna baik peserta didiknya dikemudian hari. Sebaliknya, perusahaan yang mampu menunjukkan kualitas produknya dan segala nilai yang diperlukan untuk sebuah produk yang memenuhi standar, maka dipaksakan atau tidak, laporan keuangan yang ditampilkan oleh perusahaan akan tampak memuaskan juga. Merespon hal tersebut, hasil riset mckinsey & company menyebutkan ada 4 langkah yang perlu dilakukan perusahaan untuk menghadapi fenomena wabah. Berbagai perusahaan mulai dari sektor manufaktur hingga pariwisata sudah mulai merasakan kerugian yang disebabkan penyebaran virus ini.


View Seiko Bengkel Bubut Images

View Seiko Bengkel Bubut
Images
. Minta referensi bengkel bubut dari mekanik yang biasa mengerjakan, wanti zainul furqon dari bengkel. Didukung dengan mesin bubut berteknologi cnc yang membuat proses jasa bubut menjadi presisi dan berkecepatan tinggi.

Perbup 131 2017
Perbup 131 2017 from imgv2-2-f.scribdassets.com
Bengkel timbul jaya menerima jasa. Kami bengkel yang bergerak di bidang jasa bubut dan las. Katalog produk dan hubungi kami untuk melihat isi dan informasi lain dari situs bengkel bubut adam.

Las dan bubut lingkup pekerjaan kami meliputi:

Info rekening bank bengkel bubut cv. Membuat angkur, as drat, trekstang dari besi beton (konstruksi baja) fabrikasi dan. Didukung dengan mesin bubut berteknologi cnc yang membuat proses jasa bubut menjadi presisi dan berkecepatan tinggi. Kami bengkel bubut home industri yang terletak di leuwigajah cimahi menerima pembuatan matres karet, mesin home industri dan.